sorusgentrification.com
HOME
About
Contact
Disclaimer
Privacy
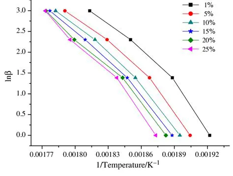
Activation Energy Analysis
Oct 13, 2025
by sorusgentrification.com
82
views