sorusgentrification.com
HOME
About
Contact
Disclaimer
Privacy
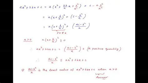
Analysis of the Given Expression
Oct 13, 2025
by sorusgentrification.com
91
views