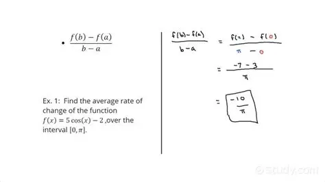
Average Rate of Change of a Function over a Given Interval Oct 13, 2025 by sorusgentrification.com 65 views