sorusgentrification.com
HOME
About
Contact
Disclaimer
Privacy
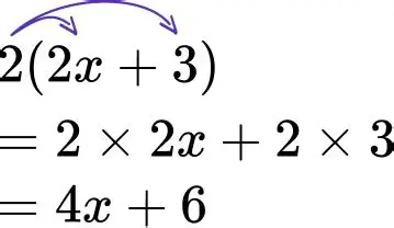
Continuing to Simplify the Equation
Oct 13, 2025
by sorusgentrification.com
123
views