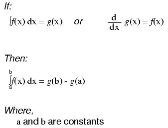
Definite Integrals and the Fundamental Theorem of Calculus Oct 13, 2025 by sorusgentrification.com 25 views