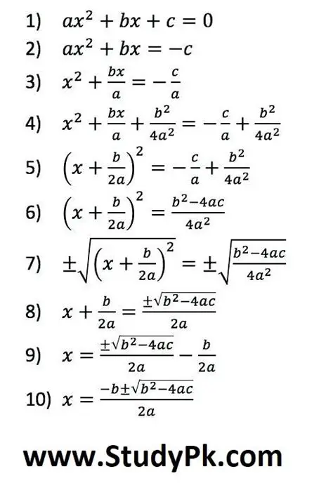
Deriving the Quadratic Formula by Completing the Square Oct 13, 2025 by sorusgentrification.com 10 views