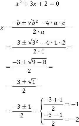
Ecuaciones de segundo grado con dos soluciones reales Oct 13, 2025 by sorusgentrification.com 97 views