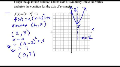
Finding the Axis of Symmetry for a Quadratic Function Oct 13, 2025 by sorusgentrification.com 31 views