sorusgentrification.com
HOME
About
Contact
Disclaimer
Privacy
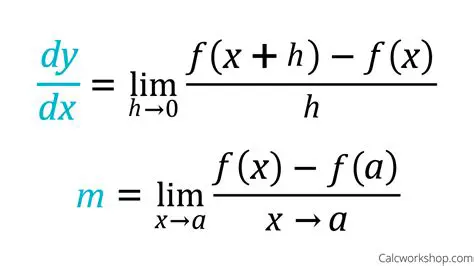
Limit Definition of Derivative
Oct 13, 2025
by sorusgentrification.com
98
views