sorusgentrification.com
HOME
About
Contact
Disclaimer
Privacy
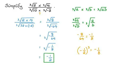
Simplifying Expressions with Multiple Cube Roots
Oct 13, 2025
by sorusgentrification.com
16
views