sorusgentrification.com
HOME
About
Contact
Disclaimer
Privacy
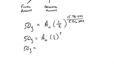
Solving for the Final Amount
Oct 13, 2025
by sorusgentrification.com
74
views