sorusgentrification.com
HOME
About
Contact
Disclaimer
Privacy
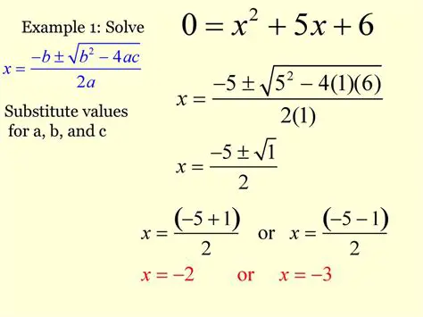
Substituting Values into the Quadratic Formula
Oct 13, 2025
by sorusgentrification.com
112
views