sorusgentrification.com
HOME
About
Contact
Disclaimer
Privacy
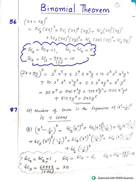
The Binomial Theorem and Its Applications
Oct 13, 2025
by sorusgentrification.com
113
views