sorusgentrification.com
HOME
About
Contact
Disclaimer
Privacy
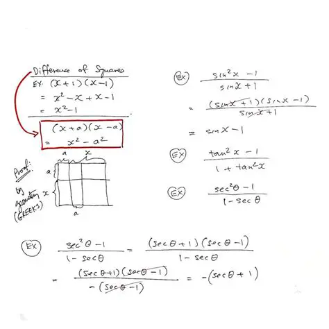
The Difference of Squares Technique
Oct 13, 2025
by sorusgentrification.com
96
views