sorusgentrification.com
HOME
About
Contact
Disclaimer
Privacy
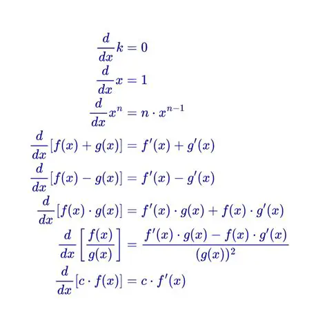
Propiedades de la Primera Derivada
Oct 13, 2025
by sorusgentrification.com
132
views